Más artículos de Matemática

Coordenadas. Del gradiente al rotacional





por Carmen SÁNCHEZ DÍEZ

(Carmen SÁNCHEZ DÍEZ es estudiante de la Licenciatura de Matemáticas)


Es obvia la importancia que la elección adecuada de coordenadas tiene para poder explicitar matemáticamente la solución de diversos problemas tanto de la Matemática, como de la Física. Mostramos aqui los tópicos sobre coordenadas cartesianas, esféricas y cilíndricas, con un pequeño repaso a la expresión del gradiente, la divergencia y el rotacional.



LAS COORDENADAS RECTANGULARES O CARTESIANAS:

- Definición:
Dado un vector r del espacio tridimensional y tres planos que se cortan en el punto origen de r, se definen las coordenadas cartesianas como las tres proyecciones ortogonales del vector sobre las tres aristas de intersección de los planos perpendiculares.
Llamaremos a las tres proyecciones x1, x2, x3, y los planos correspondientes los identificaremos por yz, zx, xy.

Es inmedianto que si se mantiene fija una de las tres coordenadas cartesianas, las otras dos definen un plano, que será paralelo a uno de los planos de referencia del triedro sobre el cual se proyecta el vector. El valor de la coordenada que se fija es la distancia entre ambos planos.

- Vectores unitarios o versores:
Puesto que las proyecciones son perpendiculares, cada uno de los tres vectores unitarios se puede definir a lo largo del eje de variación de cada una de las coordenadas con dos de las componentes nulas:

vector a lo largo del eje de variacion de la coordenada x.

vector a lo largo del eje de variacion de la coordenada y.

vector a lo largo del eje de variacion de la coordenada z.

- Superficies que definen:
Al fijar una de las tres coordenadas rectangulares y hacer variar a las otras dos, las superficies que quedan definidas son, obviamente, los tres planos perpendiculares de partida.

- Variación infinitesimal de las coordenadas:
En la variación de un punto del espacio, su vector de posición varía de acuerdo con variaciones infinitesimales de las coordenadas dx1, dx2, dx3:

Variación respecto a x1: dx1
Variación respecto a x2: dx2
Variación respecto a x3: dx3

- Elemento diferencial de un vector:

- Elemento diferencial de arco:

- Elemento diferencial de superficie:

- Elemento diferencial de volúmen:







LAS COORDENADAS ESFÉRICAS:

Dado un vector r del espacio tridimensional y tres planos que se cortan en el punto origen de r, se definen las coordenadas esféricas como las tres números que se obtienen desde las proyecciones ortogonales del vector sobre las tres aristas de intersección de los planos perpendiculares, por las relaciones siguientes.
o bien:

- Vectores unitarios o versores:
Con referencia a los vectores unitarios que definen las proyecciones ortogonales del vector sobre las aristas del triedro, podemos expresar los tres vectores unitarios en las direcciones de variación de las coordenadas esféricas:

vector a lo largo del eje de variacion de la coordenada radial r.

vector a lo largo del eje de variacion de la coordenada angular q.

vector a lo largo del eje de variacion de la coordenada angular f.

- Superficies que definen:
Si se mantiene fija la coordenada radial, las dos coordenadas angulares definen una superficie esférica. Si, por el contrario, la coordenada que se mantiene fija es el angulo que el vector forma con el eje z, entonces las otras dos coordenadas definen un semicono, y, finalmente, si la coordenada que se mantiene fija es el angulo contenido en el plano xy, entonces las otras dos coordenadas esféricas definen un plano.

- Variación infinitesimal de las coordenadas:
En la variación de un punto del espacio, su vector de posición varía de acuerdo con variaciones infinitesimales de las tres coordenadas:

Variación respecto a r:
Variación respecto a q:
Variación respecto a f:

- Elemento diferencial de un vector:

- Elemento diferencial de arco:

- Elemento diferencial de superficie:

- Elemento diferencial de volúmen:







LAS COORDENADAS CILÍNDRICAS:

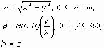
Dado un vector r del espacio tridimensional y tres planos que se cortan en el punto origen de r, se definen las coordenadas cilíndricas como las tres números que se obtienen desde las proyecciones ortogonales del vector sobre las tres aristas de intersección de los planos perpendiculares, por las relaciones siguientes.
o bien:

- Vectores unitarios o versores:
Puesto que las proyecciones son perpendiculares, cada uno de los tres vectores unitarios se puede definir a lo largo del eje de variación de cada una de las coordenadas con dos de las componentes nulas:

vector a lo largo del eje de variacion de la coordenada radial r.

vector a lo largo del eje de variacion de la coordenada angular f.

vector a lo largo del eje de variacion de la coordenada longitudinal h.

- Superficies que definen:
Si se mantiene fija la coordenada radial contenida en el plano XY, entonces las otras dos coordenadas definen la superficie lateral de un cilindro, mietras que si se mantiene fija la coordenada angular, contenida en el plano XY, la variación de las otras dos coordenadas definen un plano que es perpendicular al plano XY, y, finalmente, si se mantiene fija la coordenada h en la dirección perpendicular al plano XY, la variación de las otras dos coordenadas definen trivialmente un plano paralelo a XY.

- Variación infinitesimal de las coordenadas:
En la variación de un punto del espacio, su vector de posición varía de acuerdo con variaciones infinitesimales de las tres coordenadas:

Variación respecto a r:
Variación respecto a f:
Variación respecto a h:

- Elemento diferencial de un vector:

- Elemento diferencial de arco:

- Elemento diferencial de superficie:

- Elemento diferencial de volúmen:







EL GRADIENTE, LA DIVERGENCIA Y EL ROTACIONAL:



- El gradiente de un campo escalar (pdf)

- La divergencia de un campo vectorial (pdf)

- El rotacional de un campo vectorial (pdf)

Carmen SÁNCHEZ DÍEZ
titakrmen@hotmail.com
01 enero 2005
contador de visitas
hit counter

 


Más artículos de Matemática