¿Cuál es el peso de los planetas?. ¿Podemos determinar la masa de un objeto, aún estando a distancia considerable del mismo?. La Mecánica Clásica no relativista es suficiente para que tengamos una idea aproximada de cuánto pesan los planetas de nuestro Sistema Solar.
La fundamental ley de gravitación newtoniana nos permite determinar en los cuerpos de nuestro sistema solar su masa, su densidad, la gravedad en su superficie y también la velocidad de escape, sin más que realizar sencillos aunque a veces farragosos cálculos, pues tratamos con números grandes. Bastará, para ello, prestar la atención a cómo actúa la gravitación del planeta sobre los objetos que le orbitan.
OBJETOS QUE SON ORBITADOS POR OTROS OBJETOS:
La masa:
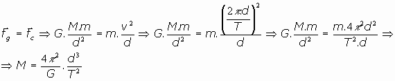
Supongamos que queremos calcular la masa M de un planeta del cual sabemos que es orbitado por un objeto de masa menor, m, en una trayectoria aproximadamente circular, de radio orbital medio d, recorriendo una órbita completa en un tiempo T.
Utilizaremos, por ejemplo, el hecho de que la fuerza de gravitación del planeta está equilibrada por la fuerza centrífuga del objeto. Se tiene:
Por tanto:
La velocidad de escape:
Veamos como calcular la velocidad de escape de un objeto, es decir, la velocidad de que debe estar provisto el objeto para que no pueda ser retenido por el potencial gravitatorio del planeta. La energía cinética mínima que debe tener un objeto de masa m para no ser retenido por la gravitación del planeta ha de ser igual o mayor que la energía potencial gravitatoria en la superficie. Por tanto, igualamos ambas energías
Energía cinética mínima del objeto:

Energía Potencial gravitatoria:

Donde es R el radio medio del planeta.
Igualando:
O sea:
Campo gravitatorio en la superficie:
La aceleración de la gravedad en la superficie del planeta de masa M está dada, como sabemos, por la expresión
Y, al sustituir la expresión de la masa M obtenida anteriormente, se tiene:
Por tanto:
Densidad media:
Conociendo el radio medio R del planeta y la masa M del mismo, es inmediata la obtención de la densidad como cociente de la masa por el volumen esférico:
Resultando:
EL SOL, ORBITADO POR LA TIERRA:
Para realizar los cálculos de la masa del Sol, su gravedad en superficie, velocidad de escape y densidad, podemos considerar las constantes orbitales de alguno de los objetos que le orbitan, por ejemplo, nuestro propio planeta, la Tierra. Utilizaremos la distancia media de la Tierra al Sol, el periodo de la órbita de la Tierra, y el radio medio del Sol.
Distancia media de la Tierra al Sol, esto es, radio orbital medio de la Tierra: 150.000.000 kms (d=15.1010 metros).
Periodo de la órbita de la Tierra: 365 días terrestres (T=31536000 segundos = 31,536.106 segundos)
Radio medio del Sol: 696.000 kms (R=6,96.108 metros)
Constante de gravitación: G=6,67.10-11 Nw.m2.Kg-2.
- Cálculo de la masa:
- Cálculo de la velocidad de escape:
- Cálculo de la gravedad en la superficie:
- Calculo de la densidad media:
LA TIERRA, ORBITADA POR LA LUNA:
En el caso de nuestro planeta, La Tierra, podemos hacer los cálculos de su masa, su gravedad en superficie, velocidad de escape y densidad, si consideramos, por ejemplo, las constantes orbitales de la Luna y la longitud del radio terrestre.
Distancia media de la Luna a la Tierra, esto es, radio orbital medio de la Luna: 385.000 kms (d=385.106 metros)
Periodo de la órbita de la Luna: 27,5 días terrestres (T=2376000 segundos = 2,376.106 segundos)
Radio medio de la Tierra: 6378 kms (R=6,378.106 metros)
Constante de gravitación: G=6,67.10-11 Nw.m2.Kg-2.
- Cálculo de la masa:
- Cálculo de la velocidad de escape:
- Calculo de la gravedad en la superficie:
- Calculo de la densidad:
MAGNITUDES DE SATURNO, A PARTIR DE LOS DATOS ORBITALES DE DOS DE SUS SATÉLITES:
De las fórmulas obtenidas deducimos que, para un mismo planeta u objeto orbitado por otros objetos de masa menor, se ha de mantener invariante el cociente entre el cubo de la distancia orbital del objeto que orbita y el cuadrado del periodo de la correspondienete órbita. Es decir, debe mantenerse invariante el cociente d3/T2, que es, en esencia, la tercera ley de Kepler (d3/T2 = constante).
Analizando datos observacionales catalogados sobre orbitas de satélites alrededor de algunos de los planetas de nuestro sistema solar nos encontramos frecuentemente que este cociente no siempre es el mismo para cada una de las lunas u objetos orbitantes al planeta, aunque, obviamente, si es numericamente muy parecido. Sin embargo, las variación en los cálculos de las magnitudes del planeta debida a esta discrepancia observacional con la tercera ley de Kepler es generalmente muy pequeña, como podemos comprobar a continuación al elegir dos de las lunas de Saturno.
Los satélites elegidos fueron las lunas Titán y Rea. Los resultados obtenidos fueron los siguientes:
a) Saturno, orbitado por la luna Titán:
Datos:
Distancia media de Titán al planeta: d = 1,277.109 metros
Periodo de la órbita de Titán: T = 1,37376.106 segundos
Radio medio del planeta: R = 6,0268.107 metros
Constante de gravitación: G = 6,67.10-11 Nw.m2.Kg-2.- Cálculo de la masa del planeta:
- Cálculo de la velocidad de escape:
- Cálculo del campo gravitatorio en superficie:
- Cálculo de la densidad media:
b) Saturno, orbitado por la luna Rea:
Datos:
Distancia media de Rea al planeta: d = 5,27.108 metros
Periodo de la órbita de Rea: T = 3,888.105 segundos
Radio medio del planeta: R = 6,0268.107 metros
Constante de gravitación: G = 6,67.10-11 Nw.m2.Kg-2.- Cálculo de la masa del planeta:
- Cálculo de la velocidad de escape:
- Cálculo del campo gravitatorio en superficie:
- Cálculo de la densidad media:
c) Resumen de los datos del planeta Saturno obtenidos desde los datos orbitales de los dos satélites:
SATURNO Masa total del planeta Velocidad de escape Campo gravitatorio en superficie Densidad media Calculos desde los datos orbitales de Titán 5,793564.1026 Kgs 35,81025.103 m/s 10,6389 m/s2 0,63182 gr/cm3 Cálculos desde los datos orbitales de Rea 5,730773.1026 Kgs 35,61567.103 m/s 10,5236 m/s2 0,62497 gr/cm3 
Carlos S. CHINEA  
casanchi@teleline.es
26 febrero 2005
              
                     
                               
                  	
					 
             
                
                 
              
                    
              
                
                 
              
                
                
                                
              
Más artículos de Astronomía